next up previous contents
Nächste Seite: Hamilton-Systeme beliebiger Dimension Aufwärts: Zweite Integrale der Bewegung Vorherige Seite: Zweite Integrale der Bewegung   Inhalt


Zweidimensionale Hamilton-Systeme

Für das Folgende sind die Gln. (1.95) und (1.108) von entscheidender Bedeutung. Sie geben explizite Formeln an für eine beliebige quadratische Hamilton-Funktion $H_2$ bzw. für das entsprechende zweite Integral $I_{\rm DFS}$ der DFS-Theorie. Sowohl $H_2$ als auch $I_{\rm DFS}$ hängen nur von der Hamilton-Matrix $L$ ab. Zur Erinnerung: nach Gl. (1.34) gilt für die Hamilton-Matrix: $L=J\,\mbox{Hess}(H_2({\mbox{\protect\boldmath$z$}}))$. Die einzige Einschränkung, die wir an dieser Stelle machen, ist die Forderung, daß die Hamilton-Funktion und damit auch $L$ reell sein sollenA.2. Demnach ist die Klassifizierung aller $H_2$ gleichbedeutend mit der Klassifizierung der reellen Matrizen $L$.

Jede $(2n,2n)$-Matrix kann mittels einer Ähnlichkeitstransformation auf Jordansche Normalform transformiert werden. Wir beschränken uns hier, anders als in Gl. (1.2), auf die reelle Version dieses Satzes, die man beispielsweise in [ArPl90] findet: Die reelle Matrix $L$ kann durch eine Ähnlichkeitstransformation mit einer orthogonalen (also insbesondere ebenfalls reellen) Transformationsmatrix $X$ in die folgende Gestalt gebracht werden:
\begin{subequations}
\begin{equation}
\quad
\tilde{L} = \left( \begin{array}{...
...ect\end{array}\right) \,, \quad k=1,2,\ldots,r
\end{equation}\end{subequations}
( $\lambda_k,a_k,b_k\in{\bf R}$) gilt. Im Fall eines Jordan-Blockes vom Typ (A.1b) ist $\lambda_k$ ein reeller Eigenwert von $\tilde{L}$, während ein Jordan-Block vom Typ (A.1c) einem komplex-konjugierten Eigenwertpaar $a_k\pm ib_k$ entspricht. Wir verwenden die Jordan-Normalform hier in ihrer reellen Form, damit wir als Resultat unserer Untersuchungen wieder reelle $H_2$ und reelle Integrale $I_{\rm DFS}$ erhalten.

Wir gehen von nun an davon aus, daß $L$ in reeller Jordanscher Normalform vorliegt. Diese zusätzliche Annahme vereinfacht die Darstellung der folgenden Sachverhalte erheblich, ist aber nicht prinzipiell notwendig. Wir merken hierzu lediglich an, daß Komplikationen für eine nicht in Normalform befindliche Hamilton-Matrix $L$ dadurch entstehen können, daß die Koordinatentransformation ${\mbox{\protect\boldmath$z$}}\to\tilde{{\mbox{\protect\boldmath$z$}}}=X^T{\mbox{\protect\boldmath$z$}}$, mit der man $L$ in die Gestalt $\tilde{L}=X^TLX$ der Gl. (A.1) bringt, in der Regel nicht kanonisch ist. Da dieser Abschnitt A.1 aber lediglich der Motivation der Galinschen Vorgehensweise dient, müssen wir hier nicht notwendigerweise eine vollständige Beschreibung geben. In der allgemeinen, in Abschnitt A.2 vorgestellten Theorie ist eine entsprechende Forderung an $L$ nicht notwendig.

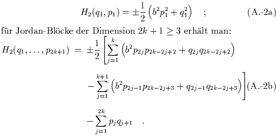
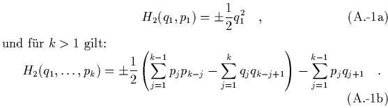
Ausgehend von einer Hamilton-Funktion $H({\mbox{\protect\boldmath$q$}},{\mbox{\protect\boldmath$p$}})$, die sich in DFS-Normalform befindetA.3und deren Hamilton-Matrix gemäß Gl. (A.1) in Jordan-Normalform vorliegt, bestimmen wir jetzt die zweiten Integrale der Bewegung im Fall zweier Freiheitsgrade der Bewegung ($n=2$). Wir nutzen die Tatsache aus, daß das Eigenwertspektrum von $L$ zwei wichtigen Bedingungen unterliegt. Zum einen treten Eigenwerte von $L$, die nicht rein reell sind, immer als komplex-konjugierte Paare $\lambda,\overline{\lambda}$ auf, weil $L$ reell ist. Zum anderen ist mit $\lambda$ auch $-\lambda$ ein Eigenwert von $L$, wie wir schon in Abschnitt 1.1.2 gezeigt haben. Damit sind die folgenden Eigenwerttupel von $L$ möglich: Quadrupel $\pm a\pm ib$, Paare $\pm a$ und $\pm ib$ sowie 0. $a$ und $b$ sind hier von null verschiedene reelle Zahlen.

Es ergeben sich die nachfolgend aufgeführten Möglichkeiten für die Eigenwerte $\lambda$ der $(4,4)$-Matrix $L$ und entsprechend für die jeweiligen Integrale der Bewegung $I_{\rm DFS}$:

  1. $L$ hat vier verschiedene Eigenwerte $\lambda=\pm a\pm ib$ mit $a,b\neq 0$. In diesem Fall erhalten wir für $L$ die (bis auf Zeilen- und Spaltenvertauschungen) eindeutige Darstellung:
    \begin{subequations}
% latex2html id marker 207811\begin{equation}
\quad L =...
...th$q$}},{\mbox{\protect\boldmath$p$}}) \quad.
\end{equation} \end{subequations}
  2. Wenn das Eigenwertpaar $\lambda=\pm a$, $a\neq 0$ auftritt, sind zwei unterschiedliche Fälle möglich:
    1. Die beiden Eigenwerte $\pm a$ haben jeweils die algebraische Vielfachheit eins (als Nullstelle des charakteristischen Polynoms von $L$). Es folgt für $L$:
      \begin{displaymath}
L = \left( \begin{array}{cc}
L^{[1]} & 0 \\ 0 & L^{[2]}
\...
...e*{0.1cm}}
c@{}}-a&0\\ [-0.1cm]0&a\protect\end{array}\right)
\end{displaymath} (A.-1)

      und der hier nicht genauer spezifizierten $(2,2)$-Matrix $L^{[2]}$. Wegen der Blockgestalt von $L$ zerfällt die Hamilton-Funktion in zwei Summanden:
      \begin{subequations}
\begin{eqnarray}
H_2({\mbox{\protect\boldmath$q$}},{\mbox...
...$}L^{[2]}{\mbox{\protect\boldmath$p$}} \quad.
\end{eqnarray} \end{subequations}
      Für das Integral der Bewegung ergibt sich eine ähnliche Aufspaltung:
      \begin{subequations}
\begin{equation}
I_{\rm DFS}({\mbox{\protect\boldmath$q$}...
...$}D^{[2]}{\mbox{\protect\boldmath$p$}} \quad,
\end{eqnarray} \end{subequations}
      wobei sich die $(2,2)$-Matrizen $D^{[i]},i=1,2$ aus den entsprechenden Zerlegungen $L^{[i]}=D^{[i]}+N^{[i]}$ in den diagonalisierbaren und den nilpotenten Anteil ergeben.

      Für das Eigenwertpaar $\pm a$ der Matrix $L^{[1]}$ erhalten wir also die folgenden Beiträge zur Hamilton-Funktion bzw. zum DFS-Integral:

      $\displaystyle H_2^{[1]}({\mbox{\protect\boldmath$q$}},{\mbox{\protect\boldmath$p$}})$ $\textstyle =$ $\displaystyle \frac{1}{2} a \left(-p_1q_1+p_2q_2\right)$ (A.-2)
      $\displaystyle \quad
I_{\rm DFS}^{[1]}({\mbox{\protect\boldmath$q$}},{\mbox{\protect\boldmath$p$}})$ $\textstyle =$ $\displaystyle H_2^{[1]}({\mbox{\protect\boldmath$q$}},{\mbox{\protect\boldmath$p$}}) \quad,$ (A.-1)

      weil hier offensichtlich $D^{[1]}=L^{[1]}$ gilt.

      Die jeweils anderen Beiträge $H_2^{[2]}$ und $I_{\rm DFS}^{[2]}$ hängen noch von der Eigenwertstruktur des zweiten Jordankästchens $L^{[2]}$ ab, über das wir unter diesem Punkt keine Aussage machen wollen.

    2. Der andere mögliche Fall ist, daß den Eigenwerten $\pm a$ nichttriviale Jordan-Kästchen entsprechen,
      \begin{subequations}
\begin{equation}
\quad L = \left( \begin{array}{cccc}
-a...
...rotect\boldmath$p$}}) & = & -a(q_1p_1+q_2p_2)
\end{eqnarray} \end{subequations}
      folgen. Bei der Berechnung von $I_{\rm DFS}$ haben wir verwendet, daß der diagonalisierbare Anteil der Hamilton-Matrix hier $D=\mbox{diag}(-a,-a,a,a)$ ist, wie man Gl. (A.8a) unmittelbar entnimmt.
  3. Wenn $\lambda$ rein imaginär ist, gibt es das Eigenwertpaar $\lambda=\pm ib$ mit $b\neq 0$. In einer ähnlichen Fallunterscheidung wie unter Punkt 2 sind wieder zwei unterschiedliche Möglichkeiten zu beachten:
    1. $\pm ib$ können Eigenwerte mit der algebraischen Vielfachheit eins sein. Dann spaltet $L$ wie in Gl. (A.3) auf, und wir erhalten
      \begin{subequations}
% latex2html id marker 207979\begin{equation}
L^{[1]} =...
...\boldmath$q$}},{\mbox{\protect\boldmath$p$}})
\end{eqnarray} \end{subequations}
      schließen.
    2. Anderenfalls gibt es wieder nichttriviale Jordan-BlöckeA.4,
      \begin{subequations}
\begin{equation}
\quad
L = \left( \begin{array}{cccc}
0...
...protect\boldmath$p$}}) & = & b(q_1p_2-q_2p_1)
\end{eqnarray} \end{subequations}
      führt.
  4. Schließlich verbleibt noch die Möglichkeit, daß $L$ den Eigenwert null hat. Es ergeben sich drei verschiedene Fälle für die Hamilton-Matrix:

    1. \begin{displaymath}
L^{[1]} = \left( \begin{array}{cc}
0 & 0 \\ 0 & 0
\end{ar...
...\mbox{\protect\boldmath$p$}})\equiv 0 \quad.
\hspace*{\fill}
\end{displaymath} (A.-3)

      Selbst wenn Gl. (A.11) sowohl für $L^{[1]}$ als auch für $L^{[2]}$ gilt, ist die Situation keineswegs trivial, denn sie bedeutet nicht etwa, daß die gesamte Hamilton-Funktion identisch null ist. Lediglich der Term niedrigster Ordnung von $H({\mbox{\protect\boldmath$q$}},{\mbox{\protect\boldmath$p$}})=\sum_{l\geq 2}H_l({\mbox{\protect\boldmath$q$}},{\mbox{\protect\boldmath$p$}})$ verschwindet.

    2. \begin{displaymath}
L^{[1]} = \left( \begin{array}{cc}
0 & 1 \\ 0 & 0
\end{ar...
...tect\boldmath$p$}})=\frac{1}{2}p_1q_2 \quad.
\hspace*{\fill}
\end{displaymath} (A.-2)


    3. \begin{displaymath}
\begin{array}{c}
\displaystyle L = \left( \begin{array}{cc...
...}}) = \frac{1}{2}
(-q_1p_2+q_2p_1+p_1p_2) \quad.
\end{array} \end{displaymath} (A.-1)

    Das entsprechende Integral bzw. die oben diskutierte $[1]$-Komponente sind in allen drei Fällen null:
    \begin{subequations}
\begin{equation}
I_{\rm DFS}^{[1]}({\mbox{\protect\boldma...
...\mbox{\protect\boldmath$p$}}) \equiv 0 \quad,
\end{equation} \end{subequations}
    denn eine Matrix, die keinen anderen Eigenwert als null besitzt, ist nilpotent.

Mit dieser Auflistung haben wir alle für $n=2$ möglichen Eigenwertkonstellationen von $L$ erfaßt. Es sei noch explizit darauf hingewiesen, daß man zwei beliebige der Fälle 2a, 3a, 4a und 4b gemäß Gl. (A.3) kombinieren kann, um die Hamilton-Matrix $L$ vollständig zu charakterisieren. Man erhält dann $H_2$ und $I_{\rm DFS}$ wieder aus den Gln. (A.4) und (A.5).

Damit ist für $n=2$ die vollständige Auflistung aller ,,irreduziblen`` Hamilton-Funktionen aus $\L _2$ mitsamt den durch sie definierten DFS-Integralen abgeschlossen. Eine wichtige Folgerung ergibt sich insbesondere aus der Gestalt von $I_{\rm DFS}$ in Punkt 4: Zwar kann man, wie in Stegemertens Satz 1.4 zutreffend festgestellt wird, jede Hamilton-Funktion auf DFS-Normalform transformieren und dann mit deren Hilfe ein zweites Integral der Bewegung $I_{\rm DFS}$ bestimmen. Wenn aber alle Eigenwerte der Hamilton-Matrix $L$ null sind, dann ist dieses neue Integral identisch null und ergibt keine neue Information über das System!

Darüber hinaus ergibt sich aus dem formalen Charakter (vergleiche Kapitel 1) eine weitere wichtige Bemerkung. Selbst wenn man ein von null verschiedenes formales zweites Integral $I_{\rm DFS}$ konstruieren kann, heißt dies noch nicht, daß $I_{\rm DFS}$ ein echtes Integral der Bewegung ist: Über die Konvergenz der das Integral darstellenden Potenzreihe können wir keine allgemeine Aussage machen.



Fußnoten

... sollenA.2
Man könnte hier einwenden, daß zusätzlich zu fordern sei, $L$ ginge gemäß $L=JS$ aus einer symmetrischen Matrix $S$ hervor, denn in Gl. (1.34) ist $S=\mbox{Hess}(H_2({\mbox{\protect\boldmath$z$}}))$, und die Hesse-Matrix ist symmetrisch. Dem ist entgegenzuhalten, daß wir hier den Weg in umgekehrter Richtung gehen: Wir fragen nicht nach der Hamilton-Matrix, die man für ein gegebenes $H_2$ erhält, sondern mit welchen Matrizen $L$ man gemäß $H_2({\mbox{\protect\boldmath$z$}})=\frac{1}{2}{\mbox{\protect\boldmath$z$}}\mbox{\protect\boldmath$\cdot$}J^{-1}L{\mbox{\protect\boldmath$z$}}$ eine quadratische Hamilton-Funktion definieren kann. Dies gelingt offensichtlich mit beliebigen Matrizen $L$ und damit auch mit beliebigen, nicht notwendigerweise symmetrischen Matrizen $S$, wenn man $L$ durch $L:=JS$ definiert.
... befindetA.3
Wegen Stegemertens Satz 1.3 stellt diese Voraussetzung keine Einschränkung dar, denn jede Hamilton-Funktion kann durch eine kanonische Transformation in DFS-Normalform überführt werden.
... Jordan-BlöckeA.4
Man spricht hier von Blöcken, also im Plural, weil man im Rahmen der komplexen Jordanschen Normalformentheorie gemäß Gl. (1.2) für die Matrix (A.10a) die beiden Jordan-Blöcke $\left(\protect\begin{array}{@{}c@{\hspace*{0.1cm}}
c@{}}\pm b&1\\ [-0.1cm]0&\pm b\protect\end{array}\right)$ erhielte. Wir übernehmen damit Galins Sprechweise; vergleiche auch Abschnitt A.2.

next up previous contents
Nächste Seite: Hamilton-Systeme beliebiger Dimension Aufwärts: Zweite Integrale der Bewegung Vorherige Seite: Zweite Integrale der Bewegung   Inhalt
Martin_Engel 2000-05-25