next up previous contents
Nächste Seite: Resonanz bei Hamiltonschen Vektorfeldern Aufwärts: Systeme gewöhnlicher Differentialgleichungen Vorherige Seite: Systeme gewöhnlicher Differentialgleichungen   Inhalt


Allgemeine Theorie

Wir betrachten ein kontinuierliches autonomes dynamisches System, also $N$ gekoppelte Differentialgleichungen erster Ordnung,

\begin{displaymath}
\quad \dot{{\mbox{\protect\boldmath$z$}}} = {\mbox{\protect...
...}) \;, \quad
{\mbox{\protect\boldmath$z$}}\in{\bf R}^N \quad,
\end{displaymath} (1.1)

wobei wir zusätzlich annehmen, daß das System im Ursprung einen Fixpunkt hat1.2:
\begin{displaymath}
\quad {\mbox{\protect\boldmath$F$}}({\bf0}) = {\bf0} \quad.
\end{displaymath} (1.2)

Alle folgenden Überlegungen sind lokal in dem Sinn, daß das Vektorfeld lediglich in der Nähe des Fixpunktes untersucht wird und die durchzuführenden Koordinatentransformationen nur in einer Umgebung des Fixpunktes ,,beliebig genau`` angegeben werden können.

Wir beschränken uns auf Vektorfelder ${\mbox{\protect\boldmath$F$}}({\mbox{\protect\boldmath$z$}})$, die als vektorwertige Potenzreihe vorliegen:

\begin{displaymath}
\quad {\mbox{\protect\boldmath$F$}}({\mbox{\protect\boldmat...
...\protect\boldmath$F$}}_l({\mbox{\protect\boldmath$z$}}) \quad.
\end{displaymath} (1.3)

Diese Potenzreihe wird gebildet durch die vektorwertigen homogenen Polynome vom Grad $l$ in den Variablen $z_1,z_2,\ldots,z_N$:
\begin{displaymath}
{\mbox{\protect\boldmath$F$}}_l({\mbox{\protect\boldmath$z$...
..._2^{m_2}
\cdots z_N^{m_N}
\; {\mbox{\protect\boldmath$e$}}_i
\end{displaymath} (1.4)

mit den reellen Koeffizienten $a_{m_1,m_2,\ldots,m_N}^{(i)}$ und den kanonischen Basisvektoren ${\mbox{\protect\boldmath$e$}}_i$ des ${\bf R}^N$. ${\mbox{\protect\boldmath$F$}}_l$ ist ein Element des Raumes $\H_l$ der vektorwertigen homogenen Polynome vom Grad $l$ in $N$ Variablen. Wir nennen den Vektorraum aller vektorwertigen Polynome ${\mbox{\protect\boldmath$F$}}({\mbox{\protect\boldmath$z$}})$ in $N$ Variablen $\H$:
\begin{displaymath}
\quad \H= \bigoplus_{l=1}^\infty \H_l \quad.
\end{displaymath} (1.5)

Mit Hilfe der Multiindex-Notation vereinfachen wir die Darstellung von ${\mbox{\protect\boldmath$F$}}_l({\mbox{\protect\boldmath$z$}})$,

\begin{displaymath}
\quad
{\mbox{\protect\boldmath$F$}}_l({\mbox{\protect\bold...
...otect\boldmath$m$}} \; {\mbox{\protect\boldmath$e$}}_i
\quad,
\end{displaymath} (1.6)

wobei wir
\begin{displaymath}
\begin{array}{ccl}
{\mbox{\protect\boldmath$m$}} & \in & \...
...} & = & \displaystyle a_{m_1,m_2,\ldots,m_N}^{(i)}
\end{array}\end{displaymath} (1.7)

gesetzt haben.

Der lineare Anteil des Vektorfeldes ${\mbox{\protect\boldmath$F$}}({\mbox{\protect\boldmath$z$}})$ kann mit Hilfe der Jacobi-Matrix

\begin{displaymath}
L := D_{\mbox{\protect\footnotesize\protect\boldmath$z$}}{\mbox{\protect\boldmath$F$}}({\bf0})
\end{displaymath} (1.8)

auch in der Form
\begin{displaymath}
{\mbox{\protect\boldmath$F$}}_1({\mbox{\protect\boldmath$z$}}) = L{\mbox{\protect\boldmath$z$}}
\end{displaymath} (1.9)

geschrieben werden. Die $(N,N)$-Matrix $L$ ist für die Normalformentheorie von entscheidender Bedeutung.

Die fundamentale, der gesamten Normalformentheorie für Differentialgleichungen zugrunde liegende Idee Poincarés war es, das Vektorfeld durch eine -- in der Regel unendliche -- Folge von Transformationen systematisch zu linearisieren. Wenn dieses Programm ohne Abstriche durchgeführt werden kann1.3, wenn man also eine (lokal) invertierbare Koordinatentransformation ${\mbox{\protect\boldmath$T$}}$ mit

\begin{displaymath}
\begin{array}{ccccl}
{\mbox{\protect\boldmath$T$}} & : & {...
...ldmath$T$}}(\tilde{{\mbox{\protect\boldmath$z$}}})
\end{array}\end{displaymath} (1.10)

findet, die Gl. (1.3) vollständig linearisiert,
\begin{displaymath}
\quad \dot{\tilde{{\mbox{\protect\boldmath$z$}}}} = L \tilde{{\mbox{\protect\boldmath$z$}}} \quad,
\end{displaymath} (1.11)

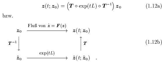
dann ist auch Gl. (1.3) schon vollständig gelöst. Denn die allgemeine Lösung $\tilde{{\mbox{\protect\boldmath$z$}}}(t;\tilde{{\mbox{\protect\boldmath$z$}}}_0)$ der transformierten Differentialgleichung mit der Anfangsbedingung $\tilde{{\mbox{\protect\boldmath$z$}}}(t=0)=\tilde{{\mbox{\protect\boldmath$z$}}}_0$ ist [HiSm74]
\begin{displaymath}
\begin{array}{rcl}
\quad
\tilde{{\mbox{\protect\boldmath$...
...t)
\tilde{{\mbox{\protect\boldmath$z$}}}_0 \quad,
\end{array}\end{displaymath} (1.12)

und man hat damit für die allgemeine Lösung von Gl. (1.3):

\begin{subequations}
\begin{equation}
{\mbox{\protect\boldmath$z$}}(t;{\mbox{\...
...ldmath$z$}}}_0) \quad.
\typeout{}
\end{array} \end{equation}\end{subequations}

Es bleibt also zu zeigen, ob und wie die linearisierende Transformation (1.12) bestimmt werden kann. Hierfür untersuchen wir zunächst, wie sich die Transformation ${\mbox{\protect\boldmath$z$}}\mapsto\tilde{{\mbox{\protect\boldmath$z$}}}$,

\begin{displaymath}
{\mbox{\protect\boldmath$z$}} = \tilde{{\mbox{\protect\bold...
...otect\boldmath$T$}}_m(\tilde{{\mbox{\protect\boldmath$z$}}}) \
\end{displaymath} (1.12)

mit ${\mbox{\protect\boldmath$T$}}_m\in\H_m, m\geq 2$, auf die Differentialgleichung auswirkt. Unter (1.16) geht Gl. (1.3) über in
\begin{displaymath}
\quad
\Big( \mbox{\rm id}_N + D{\mbox{\protect\boldmath$T$...
...h$T$}}_m(\tilde{{\mbox{\protect\boldmath$z$}}}) \right) \quad,
\end{displaymath} (1.13)

wobei $\mbox{\rm id}_N$ für die $N$-dimensionale identische Abbildung steht. Bei Vernachlässigung von Termen höheren Grades als $m$ (angedeutet durch das Symbol ${{\cal O}\left(\vert\tilde{{\mbox{\protect\boldmath$z$}}}\vert^{m+1}\right)}$) erhalten wir
$\displaystyle \dot{\tilde{{\mbox{\protect\boldmath$z$}}}}$ $\textstyle = \!\!$ $\displaystyle \Big(\mbox{\rm id}_N+D{\mbox{\protect\boldmath$T$}}_m(\tilde{{\mb...
...+{\mbox{\protect\boldmath$T$}}_m(\tilde{{\mbox{\protect\boldmath$z$}}}) \right)$  
  $\textstyle = \!\!$ $\displaystyle \Big(\mbox{\rm id}_N-D{\mbox{\protect\boldmath$T$}}_m(\tilde{{\mb...
...
+ {{\cal O}\left(\vert\tilde{{\mbox{\protect\boldmath$z$}}}\vert^{m+1}\right)}$  
  $\textstyle = \!\!$ $\displaystyle \sum_{l=1}^{m-1} {\mbox{\protect\boldmath$F$}}_l(\tilde{{\mbox{\p...
...l O}\left(\vert\tilde{{\mbox{\protect\boldmath$z$}}}\vert^{m+1}\right)} .\qquad$ (1.14)

Dieses Ergebnis ist sehr interessant. Es verdeutlicht, daß die Transformation (1.16)
(i)
die Terme des Vektorfeldes mit kleinerem Grad als $m$ invariant läßt,
(ii)
den zwischen den eckigen Klammern stehenden Anteil vom Grad $m$ ergibt,
(iii)
auch im Fall ${\mbox{\protect\boldmath$F$}}_l={\bf0} \;\; \mbox{f\uml {u}r alle} \;\;
l>m$ Terme mit größerem Grad als $m$ zur Folge haben kann.

Punkt (i) ermöglicht die Anwendung eines iterativen Verfahrens für die Normalisierung des Vektorfeldes: Für $m=2,3,\ldots$ transformieren wir sukzessive mittels einer ,,Erzeugenden`` ${\mbox{\protect\boldmath$T$}}_m$. Dabei ist durch (i) sichergestellt, daß das Ergebnis der vorangegangenen Transformationen ${\mbox{\protect\boldmath$T$}}_l$ mit $l<m$, d. h. die weitestmögliche Eliminierung der Grad $l$-Terme des Vektorfeldes, durch ${\mbox{\protect\boldmath$T$}}_m$ nicht mehr verändert wird.

Mit Hilfe von (ii) können wir genauer formulieren, was ,,Normalisierung`` in diesem Zusammenhang überhaupt bedeuten kann. Im Sinne der Poincaréschen Idee wollen wir mit der von ${\mbox{\protect\boldmath$T$}}_m$ erzeugten Transformation die Vektorfeldanteile vom Grad $m$ zum Verschwinden bringen, also

\begin{displaymath}
{\mbox{\protect\boldmath$F$}}_m(\tilde{{\mbox{\protect\boldm...
...})\left(L\tilde{{\mbox{\protect\boldmath$z$}}}\right)
={\bf0}
\end{displaymath} (1.15)

lösen. Dabei sind ${\mbox{\protect\boldmath$F$}}_m$ und $L$ gegeben, ${\mbox{\protect\boldmath$T$}}_m$ ist gesucht.

Zur Diskussion von Gl. (1.19) definieren wir

\begin{displaymath}
\tilde{{\mbox{\protect\boldmath$F$}}}_m :=
{\mbox{\protect...
...math$z$}}})\left(L\tilde{{\mbox{\protect\boldmath$z$}}}\right)
\end{displaymath} (1.16)

und führen den zu dem linearen Vektorfeld $L\tilde{{\mbox{\protect\boldmath$z$}}}$ adjungierten Lie-Operator $\mbox{\rm ad}_L$ ein als die Lie-Klammer mit $L\tilde{{\mbox{\protect\boldmath$z$}}}$ [GuHo83,LiLi92]:
\begin{displaymath}
\begin{array}{c@{}ccclcl}
\mbox{\rm ad}_L & : & \H& \to & ...
...G$}}(\tilde{{\mbox{\protect\boldmath$z$}}}) \quad.
\end{array}\end{displaymath} (1.17)

$\mbox{\rm ad}_L$ ist eine lineare Abbildung auf dem Vektorraum der vektorwertigen Polynome. Wir benötigen diesen Operator oft mit dem eingeschränkten Definitionsbereich $\H_m$ und definieren deshalb
\begin{displaymath}
\quad {\cal B}_m := \mbox{\rm ad}_L \Big\vert _{\H_m} \quad.
\end{displaymath} (1.18)

${\cal B}_m$ hängt nur vom linearen Anteil des Vektorfeldes ${\mbox{\protect\boldmath$F$}}$ ab (und natürlich von $m$). Dies hat die Invarianz von $\H_m$ unter ${\cal B}_m$ zur Folge: ${\cal B}_m(\H_m)\subseteq\H_m$.

Damit erhalten wir für die zu lösende Gl. (1.19):
\begin{subequations}
\begin{equation}
{\mbox{\protect\boldmath$F$}}_m - {\cal ...
...de{{\mbox{\protect\boldmath$F$}}}_m = 0 \quad.
\end{equation}\end{subequations}
Eine Gleichung dieses Typs heißt nach Arnold [Ar83] homologische Gleichung. ${\cal B}_m$ und ${\mbox{\protect\boldmath$F$}}_m$ sind bekannt, ${\mbox{\protect\boldmath$T$}}_m$ ist zu bestimmen. Die Formulierung von Gl. (1.19) in der Form von Gl. (1.23) erscheint an dieser Stelle unnötig kompliziert. Im Hinblick auf die im Anschluß zu besprechende Verallgemeinerung der Bedingung $\tilde{{\mbox{\protect\boldmath$F$}}}_m={\bf0}$, Gl. (1.23b'), erweist sich diese Darstellung aber tatsächlich als sinnvoll.

Falls für diese Gleichung eine Lösung ${\mbox{\protect\boldmath$T$}}_m$ existiert, findet man sie mit Hilfe der Zerlegung von $\H_m$ in den Bildvektorraum $\mbox{Im}\left({\cal B}_m\right):={\cal B}_m(\H_m)$ von ${\cal B}_m$ und einen dazu komplementären Untervektorraum ${\cal N}_m$:

\begin{displaymath}
\quad \H_m = {\cal N}_m \oplus \mbox{Im}\left({\cal B}_m\right) \quad.
\end{displaymath} (1.18)

Eine solche Zerlegung läßt sich immer finden, sie ist aber in der Regel nicht eindeutig. Falls ${\cal B}_m$ bijektiv ist, besteht ${\cal N}_m$ nur aus dem Nullvektor. Gl. (1.24) induziert eine Zerlegung von ${\mbox{\protect\boldmath$F$}}_m$:
\begin{subequations}
\begin{equation}
{\mbox{\protect\boldmath$F$}}_m = {\mbox...
...tect\boldmath$U$}}_m\in\H_m \quad.
\end{array} \end{equation}\end{subequations}
Man beachte an dieser Stelle, daß auch ${\mbox{\protect\boldmath$U$}}_m$ nicht eindeutig aus ${\mbox{\protect\boldmath$F$}}_m''$ hervorgeht. Vielmehr ist ${\mbox{\protect\boldmath$U$}}_m$ lediglich bis auf einen Summanden aus dem Kern von ${\cal B}_m$ festgelegt. Mit Gl. (1.25) erhalten wir für die homologische Gleichung (1.23a):
\begin{displaymath}
\quad
{\cal B}_m\left( {\mbox{\protect\boldmath$U$}}_m-{\m...
..._m'-\tilde{{\mbox{\protect\boldmath$F$}}}_m \right) = 0 \quad.
\end{displaymath} (1.18)

Diese ist genau dann unter der Nebenbedingung (1.23b) lösbar, wenn ${\mbox{\protect\boldmath$F$}}_m' = {\bf0}$ ist, wenn also ${\mbox{\protect\boldmath$F$}}_m\in\mbox{Im}\left({\cal B}_m\right)$ gilt. Die Lösung ist dann durch ${\mbox{\protect\boldmath$T$}}_m={\mbox{\protect\boldmath$U$}}$ gegeben.

Die Bedingung ${\mbox{\protect\boldmath$F$}}_m' = {\bf0}$ ist im allgemeinen nicht erfüllt. Wenn ${\mbox{\protect\boldmath$F$}}_m'\neq{\bf0}$ ist, dann kann man die homologische Gleichung zwar nicht mehr mit $\tilde{{\mbox{\protect\boldmath$F$}}}_m={\bf0}$ lösen, wohl aber sie dieser Lösung so nahe wie möglich bringen, indem man lediglich fordert, daß die schwächere Nebenbedingung

$\textstyle \parbox{11.5cm}{
\begin{displaymath}
\qquad \tilde{{\mbox{\protect\boldmath$F$}}}_m \in {\cal N}_m
\end{displaymath}}$ % latex2html id marker 215484
$\textstyle \parbox{1.5cm}{ \hfill (\ref{HomGlDglNebenbed}') }$

erfüllt wird. Eine -- nicht eindeutige -- Lösung der homologischen Gleichung unter dieser schwächeren Nebenbedingung (1.23b') findet man mit
\begin{subequations}
\begin{equation}
{\mbox{\protect\boldmath$T$}}_m = {\mbox...
...}}_m = {\mbox{\protect\boldmath$F$}}_m' \quad.
\end{equation}\end{subequations}
Wir haben demnach nicht nur die erzeugende Funktion ${\mbox{\protect\boldmath$T$}}_m$ der Transformation geeignet zu wählen, sondern wir müssen auch $\tilde{{\mbox{\protect\boldmath$F$}}}_m$ so bestimmen, daß es im Kern von ${\cal B}_m$ liegt. $\tilde{{\mbox{\protect\boldmath$F$}}}_m$ kann gegebenenfalls auch ${\bf0}$ sein; dies hängt von dem anfangs in Gl. (1.3) vorgegebenen Vektorfeld ${\mbox{\protect\boldmath$F$}}$ ab.

Die durch die Transformation (1.16) nicht wegtransformierbaren Anteile ${\mbox{\protect\boldmath$F$}}_m'$ heißen resonant. Eine Motivation dieser Bezeichnungsweise findet sich beispielsweise in [Wi90]. Man vergleiche auch die im nächsten Abschnitt abgeleitete Resonanzbedingung (1.40).

Mit einer Induktion nach $m$ erhalten wir somit

Satz 1.1 (Poincaré-Dulac)   : Jede Differentialgleichung (1.3) mit einem Vektorfeld in Form einer vektorwertigen Potenzreihe kann mittels der formalen Koordinatentransformation ${\mbox{\protect\boldmath$z$}}\mapsto\tilde{{\mbox{\protect\boldmath$z$}}}$ mit
\begin{displaymath}
{\mbox{\protect\boldmath$z$}} = {\mbox{\protect\boldmath$T$...
...ht) \circ
\cdots \Big] \tilde{{\mbox{\protect\boldmath$z$}}}
\end{displaymath} (1.18)

auf ihre Normalform
\begin{displaymath}
\dot{\tilde{{\mbox{\protect\boldmath$z$}}}} = L \tilde{{\mb...
...otect\boldmath$F$}}_m'(\tilde{{\mbox{\protect\boldmath$z$}}})
\end{displaymath} (1.19)

reduziert werden, wobei die ${\mbox{\protect\boldmath$F$}}_m'$ sämtlich resonant sind: ${\mbox{\protect\boldmath$F$}}_m'\in{\cal N}_m$. Wegen der Nichteindeutigkeit des Komplementärraumes ${\cal N}_m$ ist auch die Normalform in der Regel nicht eindeutig festgelegt.

Die Anwendung des Poincaré-Dulac-Theorems in der Nähe eines hyperbolischen Fixpunktes beweist den formalen Teil des Hartman-Grobman-Theorems. Daß die linearisierende Transformation nicht nur eine formale Potenzreihe, sondern sogar ein Homöomorphismus ist, läßt sich auf diese Weise allerdings nicht nachweisen [GuHo83].

Die Transformation eines Vektorfeldes auf seine Normalform kann eine wesentliche Vereinfachung darstellen. Bifurkationstheorie wäre beispielsweise nicht möglich ohne die Klassifizierung von Vektorfeldern mit den Mitteln der Normalformentheorie [IoAd92]. Im Hinblick auf die Konstruktion einer vollständigen Lösung der Differentialgleichung gemäß Gl. (1.15a) stellt jedoch jeder resonante Term des Vektorfeldes eine unüberwindliche Hürde dar, weil er die Linearisierung unmöglich macht.

Die Normalformentheorie ist eine formale Theorie: Die einzelnen Beiträge ${\mbox{\protect\boldmath$T$}}_m$ zur Erzeugenden und die resonanten Terme ${\mbox{\protect\boldmath$F$}}_m'$ des Vektorfeldes können zwar sukzessive für alle Grade $m$ bestimmt werden, aber über das Konvergenzverhalten von ${\mbox{\protect\boldmath$T$}}$ bzw. $\sum_{m\geq 2}{\mbox{\protect\boldmath$F$}}_m'$ kann im allgemeinen keine Aussage gemacht werden, und oft divergieren diese Reihen. Konvergenzaussagen in einigen speziellen Fällen gehen auf Poincaré und Siegel zurück und werden in [SiMo71,Ar83] erörtert. Beispiele divergenter Transformationen auf Normalform -- im Rahmen der Dragt-Finn-Stegemertenschen Normalformentheorie für Hamilton-Systeme -- werden in den Kapiteln 4 und 5 diskutiert. Selbst im Fall der Divergenz reichen aber oft schon die niedrigsten Terme der Normalform und der damit konstruierten näherungsweisen Lösung aus, um beispielsweise das Phasenportrait des Systems qualitativ angeben zu können [Ar83].



Fußnoten

... hat1.2
Falls das System allgemeiner in der Nähe des Fixpunktes ${\mbox{\protect\boldmath$z$}}_0\neq{\bf 0}$ analysiert werden soll, kann man immer durch die Transformation ${\mbox{\protect\boldmath$z$}}\mapsto{\mbox{\protect\boldmath$z$}}-{\mbox{\protect\boldmath$z$}}_0$ zu Gl. (1.4) übergehen.
... kann1.3
Das Hartman-Grobman-Theorem [GuHo83] weist die Linearisierbarkeit von Gl. (1.3) mittels eines Homöomorphismus ${\mbox{\protect\boldmath$T$}}$ in der Nähe eines hyperbolischen Fixpunktes nach.

next up previous contents
Nächste Seite: Resonanz bei Hamiltonschen Vektorfeldern Aufwärts: Systeme gewöhnlicher Differentialgleichungen Vorherige Seite: Systeme gewöhnlicher Differentialgleichungen   Inhalt
Martin_Engel 2000-05-25